最近科研中存在一个小需求:高亮柱状图中的某个柱子,从而展示所提方法的优越性(比如:比较RMSE,精确度等)。这该怎么做呢?
在询问 ChatGPT 和 Bing 搜索后,发现几种解决的办法:
直接使用 {ggplot2} 包中的 scale_fill_manual() 函数来手动指定柱状图中某根柱子的颜色。
使用 {ggcharts} 包中的 bar_chart() 和 lollipop_chart() 中特定的 highlight 参数。
接下来,来展示下这两种方法吧。
注意: ChatGPT 相关推文可见:利用 ChatGPT 回答 R 相关问题 ;数据分析的未来- ChatGPT 和 R;ChatGPT为何逆天?——OpenAI生成式语言模型的前世今生。
下面是 ChatGPT 给出的答案,我来人工实现下。下面给出代码和结果。总体而言还是很不错的。

library(ggplot2)
# 生成示例数据
df <- data.frame(category = c("A", "B", "C", "D"),value = c(10, 20, 30, 40))
# 将第三个类别的颜色指定为红色
highlight_color <- c("grey", "grey", "red", "grey")# 使用ggplot2创建柱状图
ggplot(df, aes(x = category, y = value, fill = category)) +geom_col() +scale_fill_manual(values = highlight_color)

但是根据小编需求,重新与它对话。
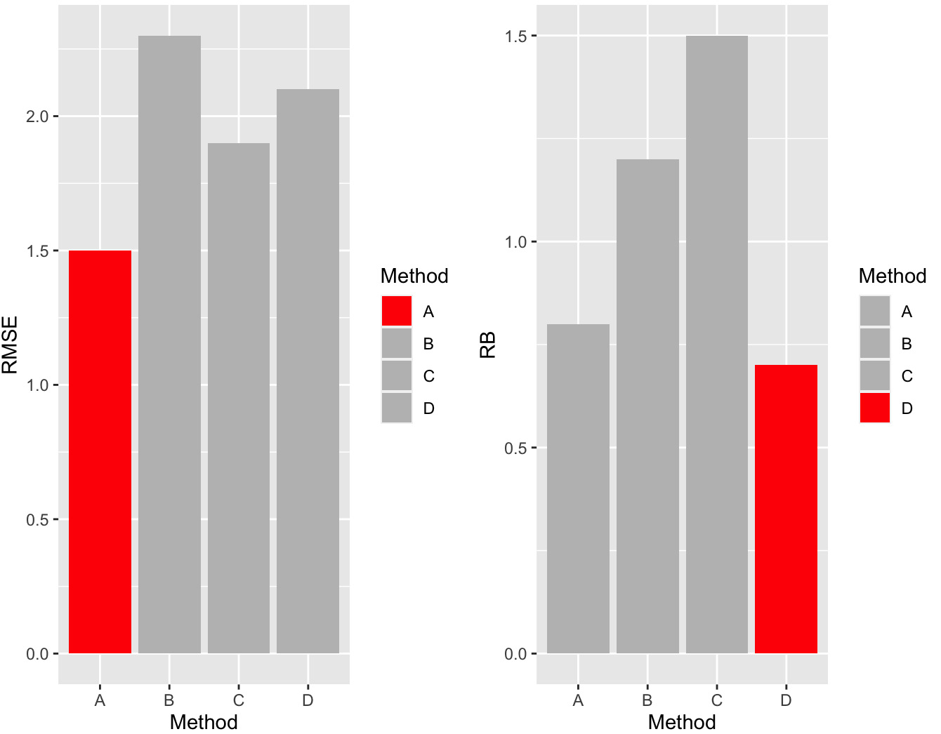
问题:假设有四种方法(A:D),分别计算了对应的RMSE和RB结果。请使用ggplot绘制柱状图并高亮RMSE和RB最低的柱子
但是这时给出的答案却有问题。小编只能在上面正确的代码进行修改。
模拟数据如下所示:
# 创建数据框
data <- data.frame(Method = c("A", "B", "C", "D"),RMSE = c(1.5, 2.3, 1.9, 2.1),RB = c(0.8, 1.2, 1.5, 0.7)
)
head(data)
# Method RMSE RB
# 1 A 1.5 0.8
# 2 B 2.3 1.2
# 3 C 1.9 1.5
# 4 D 2.1 0.7
# 使用ggplot2创建柱状图
h1 <- c("red", "grey", "grey", "grey")
p1 = ggplot(data, aes(x = Method, y = RMSE, fill = Method)) +geom_col() + scale_fill_manual(values = h1) h2 <- c("grey", "grey", "grey","red")
p2 = ggplot(data, aes(x = Method, y = RB, fill = Method)) +geom_col() + scale_fill_manual(values = h2) library(cowplot)
plot_grid(p1,p2)
注意:这是一个很初级的版本,由于组数不多就直接使用手工变化颜色。如果要做批量处理,读者在此基础还得进行修改。

以上方法需要自己手动修改 scale_fill_manual() 中的参数,比较麻烦。现在来分享另一种思路:使用 ggcharts 包中的 bar_chart() 和 lollipop_chart() 中特定的 highlight 参数。
先给出官方的几个例子。
数据来自 {ggcharts} 包中的 biomedicalrevenue 数据。
library(ggcharts)
library(dplyr)
data("biomedicalrevenue")
revenue2018 <- biomedicalrevenue %>%filter(year == 2018)
head(revenue2018)
# company year revenue
#1 Johnson & Johnson 2018 81.60
#2 Roche 2018 56.86
#3 Pfizer 2018 53.60
#4 Novartis 2018 51.90
#5 Bayer 2018 45.06
#6 GlaxoSmithKline 2018 43.14
使用 bar_chart() 并设置 highlight = "Roche"。
bar_chart(revenue2018,company,revenue,top_n = 10,highlight = "Roche"
)

颜色主题可以通过修改 ggcharts 主题修改,比如:ggcharts_get_theme()。
ggcharts_set_theme("theme_ng")
bar_chart(revenue2018,company,revenue,top_n = 10,highlight = "Roche"
)

注意: 想变换到默认主题,可食用:
ggcharts_set_theme("theme_ggcharts")。
当然也可以将其和分面结合,只需在参数中设置:facet = xxx。
biomedicalrevenue %>%filter(year %in% c(2012, 2014, 2016, 2018)) %>%bar_chart(company,revenue,facet = year,top_n = 12,highlight = "Bayer")

根据上述学习,我们将该包应用到所提的例子中。
# 数据转化
data_long <- tidyr::gather(data, Metric, Value, -Method)
head(data_long)
# Method Metric Value
# 1 A RMSE 1.5
# 2 B RMSE 2.3
# 3 C RMSE 1.9
# 4 D RMSE 2.1
# 5 A RB 0.8
# 6 B RB 1.2
data_long %>%bar_chart(Method,Value,facet = as.factor(Metric),top_n = 12,highlight = "A",horizontal = T)

问题:存在一个问题,如何使用改函数将每个指标的粉最低的方法高亮出来?